Статьи | Страница 9 | Soundmain - Библиотека для звукорежиссеров и любителей
Приложение
Как установить приложение на iOS

Смотрите видео ниже, чтобы узнать, как установить наш сайт в качестве веб-приложения на домашнем экране.

Примечание: Эта возможность может быть недоступна в некоторых браузерах.

Что нового?

Статьи

Последние комментарии

Алексей Раков
3 минут(ы)
Просмотры
2,672
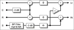
Pro Logic II Dolby Surround Pro Logic II - это следующий этап развития аналоговых систем декодирования и последний из них. Он намного проще по принципу работы по сравнению с Pro Logic, помимо этого позволяет производить прослушивание в режиме surround не только звуковых треков к кинофильмам, но...
Алексей Раков
5 минут(ы)
Просмотры
1,970
Другие многоканальные системы В принципе, любой пользователей, имея в своем арсенале звуковую карту с четырьмя и более выходами и профессиональную мультитрековую программу, может почувствовать себя на заре 70-80-х. Именно тогда велись основополагающие опыты с многоканальным звуком. Многим...
Алексей Раков
7 минут(ы)
Просмотры
1,294
Передать пространственные звуковые ощущения - задача со многими вариантами решений. Мы не раз сталкивались с идеализированием звуковых систем, разговорами о полноценном многоканальном звуке, который переносит слушателя в заданное акустическое пространство с множеством локализованных источников...
Алексей Раков
5 минут(ы)
Просмотры
9,047
Вот решил сам написать статью, весьма важную для акустиков. В этой статье хочу описать способы измерения самых важных параметров динамических головок – параметры Тиля-Смолла. Самыми основными параметрами Тиля-Смолла, по которым можно рассчитать и изготовить акустическое оформление (проще...
Алексей Раков
8 минут(ы)
Просмотры
1,392
В любой аудиосистеме, как бы тщательно она ни составлялась, один компонент непременно будет слабее всех остальных. Уж так устроен мир, и редкие исключения лишь подтверждают это правило. Даже в музыкальных центрах от одного производителя приятный во всех отношениях усилитель может сочетаться с...
Алексей Раков
5 минут(ы)
Просмотры
3,997
Практически все современные электронные музыкальные инструменты (в том числе и звуковые карты) имеют управление по MIDI. Подробно об этом цифровом интерфейсе уже неоднократно писалось и в печатных изданиях и в электронных ресурсах. Смотрите, например, статью Описание интерфейса MIDI на сайте...
Алексей Раков
6 минут(ы)
Просмотры
2,858
Таблично-волновой (wave table) синтез является развитием более простого - самплерного (sampler), который основан на записи образца (сампла) какого-либо звучания и его последующем воспроизведении в неизменном виде или с какой-либо обработкой. Самплер в чем-то подобен обычному магнитофону, и...
Алексей Раков
6 минут(ы)
Просмотры
3,101
Вокодеры используются не только в музыкальной индустрии, но и в коммуникационных технологиях. В последних они делятся на два класса: фонемные (речеэлементные) и параметрические. В принципе фонемных лежит запоминание отдельных фраз, речевых оборотов. Благодаря этому запоминанию на воспроизводящий...
Алексей Раков
12 минут(ы)
Просмотры
4,199
Звук, как и цвет, люди воспринимают по-разному. Например, то, что кажется слишком громким или некачественным одним, может быть нормальным для других. Для работы над Яндекс.Музыкой нам всегда важно помнить о разных тонкостях, которые таит в себе звук. Что такое громкость, как она меняется и от...
Алексей Раков
6 минут(ы)
Просмотры
2,025
В громкоговорителе при колебаниях диффузора головки электродинамического типа его фронтальная и тыльная поверхности приводят в движение воздух, создавая попеременно его сжатие и разрежение. Таким образом, когда с одной стороны диффузора давление возрастает, то с другой стороны, наоборот...
Алексей Раков
5 минут(ы)
Просмотры
1,609
Если вам не посчастливилось с нуля спроектировать и построить комнату для вашего домашнего кинотеатра, есть несколько приемов, которые помогут выжать из помещения максимум. И хотя здорово говорить о многотысячедолларовых перепланировках, дорогих консультантах и листах гипсокартона, вырванных из...
Алексей Раков
4 минут(ы)
Просмотры
2,712
Несколько лет назад радиолюбитель А. Журенков предложил для снижения нижней границы диапазона воспроизводимых громкоговорителем частот использовать сдвоенные головки [1]. К сожалению, в радиолюбительской практике этот метод расширения диапазона в сторону низких частот широкого распространения не...
Алексей Раков
4 минут(ы)
Просмотры
1,220
Существует несколько общих недостатков звучания громкоговорителей, на которые необходимо обратить внимание. Хотя некоторые из них и неизбежны (скажем, у не самых дорогих громкоговорителей), но акустическую систему, демонстрирующую слишком уж большое их количество, следует вычеркнуть из числа...
Алексей Раков
2 минут(ы)
Просмотры
1,455
Жилая комната оказывает значительное влияние на качество звучания ГГ и АС. При этом не безразлично, в каком месте комнаты они расположены. Так, при установке акустической системы в углу помещения происходит подъем низких частот, что не всегда желательно, особенно в случае недостаточного...
Алексей Раков
4 минут(ы)
Просмотры
2,397
При создании высококачественной акустики по-прежнему весьма актуальна проблема построения акустических систем (АС), обладающих широким диапазоном воспроизводимых частот и малыми нелинейными искажениями. Наибольшие искажения современных АС проявляются в области низших звуковых частот (20...200...
Алексей Раков
4 минут(ы)
Просмотры
2,020
Прежде чем делать ящик для сабфувера нужно выбрать динамическую головку, под которую, собственно, и будут рассчитаны его физические параметры. Для выбора динамика необходимо знать как можно больше его электромеханических параметров. Абсолютный минимум данных это: Резонансная частота динамика...
Алексей Раков
9 минут(ы)
Просмотры
1,882
Очень немногие люди с натренированным слухом могут судить о качестве звука с разумной точностью и в объективных выражениях. Наиболее слабым звеном звукового тракта чаще всего бывает акустическая система. И это не случайно. Спроектировать ее — технически очень сложная задача, связанная со...
Алексей Раков
3 минут(ы)
Просмотры
2,485
В теории идеальный источник звука — точечный, а уже максимально приближенный к нему широкополосный имеет целый ряд недостатков, среди коих первое место занимают его внушительные размеры. К сожалению, практически невозможно создать широкополосный громкоговоритель, способный воспроизвести...
EKmixmaster
2 минут(ы)
Просмотры
3,157
Комментарии
3
Автор Илья Кутихин, студия Cведения и Мастеринга EKmixmaster Эквализация - один из основополагающих приемов в сведении. Не владея им на достаточном (в идеале - профессиональном) уровне, вы рискуете проигрывать в звучании другим артистам. Чтобы вывести владение эквализацией на уровень...
Алексей Раков
6 минут(ы)
Просмотры
2,944
При сборке диффузора динамика используются современные материалы. Например, для приклеивания каркаса звуковой катушки к керамическому или металлическому купольному диффузору используются полимерные клеи с ультрафиолетовым отверждением. Выводы катушки с помощью специальных очень гибких проводов...

Приветствуем!

Зарегистрировавшись у нас, вы сможете обсуждать, делиться и отправлять личные сообщения другим членам нашего сообщества.

Зарегистрироваться сейчас!
Назад
Сверху